Journal of Modern Power Systems and Clean Energy

ISSN 2196-5625 CN 32-1884/TK

  • Volume 13,Issue 6,2025 Table of Contents
    Select All
    Display Type: |
    • >Views
    • Smart Grid Origins, Definitions, Technologies, and Emerging Trends: A Power Community Perspective

      2025, 13(6):1845-1853. DOI: 10.35833/MPCE.2025.000807

      Abstract () HTML () PDF 38.24 K () Comment (0) Favorites

      Abstract:This paper captures an engaging— and at times heated—Power-Globe (PG) discussion of evolving definitions of smart grid technologies. The exchange took place between December 2024 and January 2025. The primary objective of this paper is to clarify some of the ambiguities surrounding the term “ smart grid” over the past two decades, as highlighted in the spirited PG debate. “ Smart grid” has sometimes been advocated as a panacea to resolve the tension between competing objectives for the provision of electricity (specifically, making it reliable, clean, and affordable). This paper examines the term “ smart grid” in terms of raw technical functionalities, applications, and use cases, some of which may get closer than others to meeting the aspirational promises. While smart technology should expand our menu of options, it will not absolve us of the need to make hard decisions.

      • 0+1
      • 1+1
      • 2+1
    • >Original Paper
    • Modeling and Integrating Frequency Security Constraints in Generation Portfolio Optimization for Low-inertia Grids

      2025, 13(6):1854-1870. DOI: 10.35833/MPCE.2024.000745

      Abstract () HTML () PDF 29.80 K () Comment (0) Favorites

      Abstract:Variable renewable energy (VRE) integrated via non-synchronous inverters exhibits low inertia and fluctuating output, posing substantial frequency security challenges for future power systems. When frequency security constraints are omitted from generation planning, the resulting low-inertia generation portfolios often fail to meet critical frequency requirements. To address this issue, this paper proposes a novel frequency security constrained generation planning (FSCGP) model that leverages the frequency support potential of diverse power sources, including conventional thermal generators (CTGs), VRE units, concentrating solar power (CSP) units, and energy storage systems (ESSs). A physics-data hybrid-driven method is introduced to formulate frequency security constraints, enabling accurate representation of diverse frequency regulation characteristics, particularly the fast frequency support capabilities of inverter-based generators (IBGs). To further enhance the computational efficiency, several acceleration techniques are incorporated into the proposed FSCGP model. Case studies based on a modified IEEE RTS-79 system validate the effectiveness of the proposed FSCGP model. The numerical results identify the primary contributors to frequency security under different renewable energy penetration (REP) levels and demonstrate the cost-effectiveness of coordinating various frequency support sources, especially CSP units and IBGs, in mitigating challenges in low-inertia grids.

      • 0+1
      • 1+1
      • 2+1
      • 3+1
      • 4+1
      • 5+1
      • 6+1
      • 7+1
      • 8+1
      • 9+1
      • 10+1
      • 11+1
      • 12+1
      • 13+1
      • 14+1
      • 15+1
      • 16+1
    • Measuring Short-term Voltage Stability of Power Systems Dominated by Inverter-based Resources Part I: System-wise Generalized Voltage Damping Index

      2025, 13(6):1871-1883. DOI: 10.35833/MPCE.2024.001297

      Abstract () HTML () PDF 28.25 K () Comment (0) Favorites

      Abstract:This two-part paper presents a generic methodology for measuring the short-term voltage stability (STVS) of power systems dominated by inverter-based resources (IBRs), which introduces the concept of generalized voltage damping (GVD) for quantifying STVS from both global and local perspectives. It leads to a model-independent approach to assessing the voltage stability, the system strength, and the capability of dynamic devices to support voltage during transient process. Part I of this paper focuses on deriving the system-wise generalized voltage damping (sGVD) index and its applications. The sGVD index is defined as the decay rate of voltage-related transient energy (VTE) dissipated on the (aggregated) buses of the power system, which can be obtained using the maximum Lyapunov exponent (MLE) technique. The proposed sGVD index is theoretically demonstrated to capture the actual voltage damping of devices and to be strongly linked with STVS. These unique properties enable a model-independent approach to measuring STVS and system strength, even in the presence of heterogeneous and strongly nonlinear dynamics of IBRs. We verify the theoretical results by conducting simulations on the modified IEEE 39-bus system and two large-scale practical power systems with integration of massive renewable resources, demonstrating the effectiveness and practicality of the methodology.

      • 0+1
      • 1+1
      • 2+1
      • 3+1
      • 4+1
      • 5+1
      • 6+1
      • 7+1
      • 8+1
      • 9+1
      • 10+1
    • A Learning to Optimize Approach to Accelerating Distributed Optimal Power Flow Solving

      2025, 13(6):1884-1895. DOI: 10.35833/MPCE.2024.001036

      Abstract () HTML () PDF 20.62 K () Comment (0) Favorites

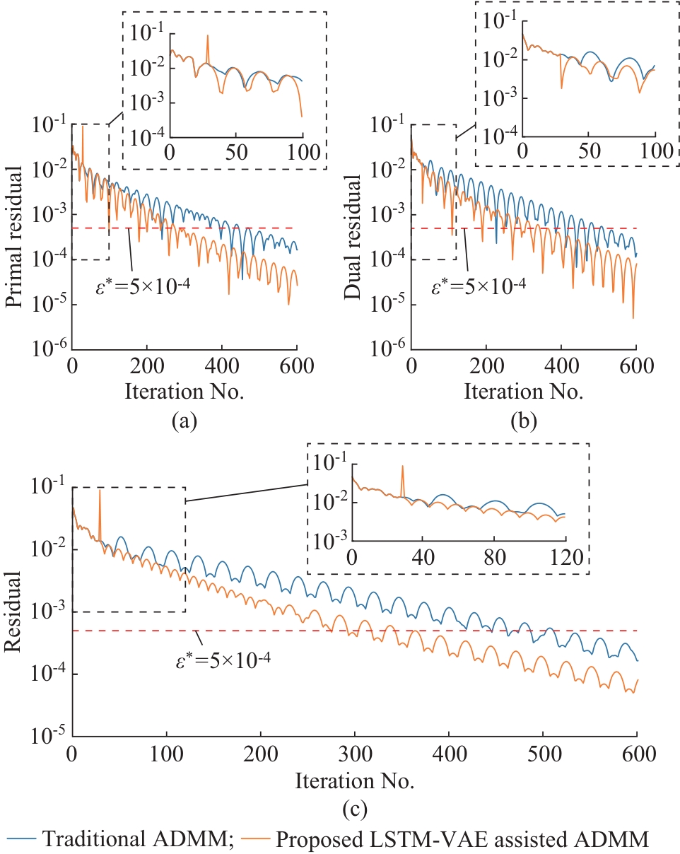
      Abstract:As the scale of power system continues to grow, a fast and accurate distributed optimal power flow solver becomes crucial for the effective dispatch of power system. This paper presents a learning to optimize (L2O) approach to accelerating the distributed optimal power flow solving. The final convergence values of global variables and Lagrange multipliers of the alternating direction method of multipliers (ADMM) are estimated as its warm-start solution. A long short-term memory-variational auto-encoder (LSTM-VAE) model is developed as the core for estimating the convergence value, and the LSTM-VAE assisted ADMM is proposed. The LSTM generates low-dimensional representations of global variables and Lagrange multipliers, while the decoder part of VAE reconstructs the high-dimensional asymptotic convergence values. A novel loss function is designed in the form of a quadratic sum penalty term to incorporate the constraint violations of the Lagrange multipliers. Additionally, a two-stage training data generation strategy is proposed to efficiently generate substantial data within a limited amount of time. The effectiveness of the LSTM-VAE assisted ADMM is evaluated using the modified IEEE 123-bus system, a synthetic 500-bus system, and a 793-bus system.

      • 0+1
      • 1+1
      • 2+1
      • 3+1
      • 4+1
      • 5+1
      • 6+1
      • 7+1
      • 8+1
      • 9+1
      • 10+1
    • Policy-assisted Graph Reinforcement Learning for Real-time Economic Dispatch

      2025, 13(6):1896-1908. DOI: 10.35833/MPCE.2024.000972

      Abstract () HTML () PDF 26.67 K () Comment (0) Favorites

      Abstract:In this paper, policy-assisted graph reinforcement learning (PAGRL) is proposed for real-time economic dispatch (RTED). RTED is presented as a sequential decision problem formulated by Markov decision process (MDP). PAGRL employs a graph convolutional network to extract grid operation features containing topological information and then an agent that performs power dispatch is trained through proximal policy optimization. Moreover, the adaptiveness of agent to more hard-to-learn scenarios is enhanced by difficulty sampling, and policy-assisted action post-processing mechanism is designed to reduce search space and improve decision quality, which provides a general performance enhancement scheme for reinforcement learning in power system applications. Comparative studies on modified IEEE 118-bus system and real-world provincial grid demonstrate the flexible and reliable performance of the proposed PAGRL for RTED.

      • 0+1
      • 1+1
      • 2+1
      • 3+1
      • 4+1
      • 5+1
      • 6+1
      • 7+1
      • 8+1
      • 9+1
      • 10+1
      • 11+1
    • Aggregated System Frequency Response Model Considering Load Dynamics for Future Power Systems

      2025, 13(6):1909-1920. DOI: 10.35833/MPCE.2024.001177

      Abstract () HTML () PDF 26.03 K () Comment (0) Favorites

      Abstract:Future power systems will be characterized by low levels of inertia and limited frequency regulation capacity due to the widespread use of renewable energy sources. Furthermore, the response of different types of loads to system disturbances significantly affects the frequency dynamics. To address these issues, this paper proposes an aggregated system frequency response model considering load dynamics. Initially, a dynamic model of different loads is established, followed by the derivation of a small-signal load model that affects the active power imbalance of the system. The active power variations of loads are categorized into three components: load voltage dynamics, load frequency dynamics, and load inertia contribution. These components are incorporated into the system frequency response model, which accounts for load active power dynamics. The final output is an aggregated reduced-order system frequency response model, where the aggregation is primarily weighted by the primary frequency regulation capability of the load, load capacity, and rotor kinetic energy. Finally, the accuracy and effectiveness of the proposed model are validated using the WECC 9-bus test system with power electronic sources, and the influence of load parameters on the frequency stability indicators is analyzed.

      • 0+1
      • 1+1
      • 2+1
      • 3+1
      • 4+1
      • 5+1
      • 6+1
      • 7+1
      • 8+1
      • 9+1
      • 10+1
      • 11+1
    • Coordinated Generation Scheduling Considering Peak Regulation Cost Allocation and Compensation Distribution in Power Systems

      2025, 13(6):1921-1932. DOI: 10.35833/MPCE.2024.000705

      Abstract () HTML () PDF 27.22 K () Comment (0) Favorites

      Abstract:As the share of renewable generations (RGs) in power systems grows, the demand for peak regulation has increased, leading to higher associated costs. In this paper, we propose a mechanism for allocating peak regulation cost among RGs and distributing compensation among peak regulation resources (PRRs). This mechanism is integrated into a coordinated generation scheduling model to enhance the economic efficiency of independent system operators (ISOs) and incentivize PRRs. First, we propose a model for peak regulation cost of diverse PRRs. Next, we develop a method for constructing an RG output curve that facilitates peak regulation. The waveform difference between this constructed curve and the RG forecasted output curve is then calculated. In addition, we create a mechanism for peak regulation cost allocation and compensation distribution that incorporates the waveform difference, the peak regulation contribution of PRRs, and participant satisfaction as key indicators. We then establish a coordinated generation scheduling model using this mechanism, which is solved through the column-and-cut generation algorithm and rolling optimization. Finally, we conduct case studies based on an improved IEEE 30-bus test system and perform several comparative analyses to validate the effectiveness of the proposed mechanism and coordinated generation scheduling model.

      • 0+1
      • 1+1
      • 2+1
      • 3+1
      • 4+1
      • 5+1
      • 6+1
      • 7+1
      • 8+1
      • 9+1
      • 10+1
    • Frequency-constrained Unit Commitment Considering Coordinated Frequency Control Strategy of Wind Turbines and Energy Storage System

      2025, 13(6):1933-1944. DOI: 10.35833/MPCE.2024.000976

      Abstract () HTML () PDF 24.89 K () Comment (0) Favorites

      Abstract:To maintain the frequency stability of power systems integrated with large-scale renewable energy sources (RESs), a frequency-constrained unit commitment (FCUC) model is proposed, which incorporates a coordinated frequency control strategy of wind turbines and energy storage system (WT-ESS), a vital component for enhancing frequency regulation capacity of wind farms. Analytical formulations for the maximum rate of change of frequency (RoCoF) and steady-state frequency deviation are derived for both serial control and parallel control, accounting for the output-limited state of energy storage under serial control. To address the problem of solution slowness caused by the strong nonlinear frequency nadir constraints, a model-based multi-directional bilayer solution method is proposed. This method employs the simulation model to detect whether the frequency nadir constraint is active and generates parallel optimized cuts in three directions. Simulation results on the IEEE 39-bus test system demonstrate that the proposed FCUC model and solution method could accurately reflect the primary frequency regulation (PFR) characteristics of WT-ESS. Furthermore, the coordinated frequency control strategy effectively reduces overall operating costs while ensuring frequency security.

      • 0+1
      • 1+1
      • 2+1
      • 3+1
      • 4+1
      • 5+1
      • 6+1
      • 7+1
      • 8+1
      • 9+1
      • 10+1
      • 11+1
      • 12+1
    • New Topological Observability Algorithm for Hybrid Power System Static State Estimation

      2025, 13(6):1945-1954. DOI: 10.35833/MPCE.2024.000951

      Abstract () HTML () PDF 19.03 K () Comment (0) Favorites

      Abstract:This work presents a new topological observability algorithm to strengthen the performance of the hybrid power system static state estimation, assuming that the supervisory control and data acquisition (SCADA) and phasor measurement unit (PMU) measurements are recorded at the same time intervals. The observability of each estimated state variable is assessed by the value assigned to its least local redundancy index. The algorithm has been specifically developed to enhance the observability of an existing wide-area monitored system and exempts its expansion from critical sets and critical measurements. These objectives are achieved by building the incidence matrices of the measurements for the nodes and branches. The performance of the proposed algorithm is evaluated using the IEEE test systems and the SIN test systems of Brazilian equivalent systems.

      • 0+1
      • 1+1
      • 2+1
      • 3+1
      • 4+1
      • 5+1
      • 6+1
      • 7+1
      • 8+1
      • 9+1
      • 10+1
      • 11+1
      • 12+1
      • 13+1
      • 14+1
      • 15+1
    • Decentralized Power Transfer Limit Calculation Method Considering Spatial and Seasonal Differences of Ambient Factors

      2025, 13(6):1955-1965. DOI: 10.35833/MPCE.2024.000997

      Abstract () HTML () PDF 26.74 K () Comment (0) Favorites

      Abstract:Power transfer limit (PTL) calculation plays an important role in assessing power network capability under certain constraints of system security and stability. However, the impact of ambient factors, which is different due to variations in time and space, is ignored in traditional methods to obtain PTL, thus inducing errors. Furthermore, system operation based on traditional PTL results may increase system security risks, particularly in the case of power flow congestion under heavy loads. Therefore, this paper proposes a decentralized PTL calculation method with improved optimal power flow model, which allows for the effect of the ambient factors characterized by the balance of heat absorption and dissipation for overhead conductors. The ambient factors of overhead transmission lines and the temperature of overhead conductors are involved as independent variables and state variables, respectively. Moreover, the sequential optimization problem is decomposed into several subproblems by the optimal conditional decomposition to deal with the temporal coupling constraints, and a parallel decomposition framework is used to solve multiple subproblems in parallel. Finally, the proposed method is implemented on two test systems under varying ambient factors, demonstrating the efficiency of the proposed method and the significant impacts of spatial and seasonal differences on PTL results.

      • 0+1
      • 1+1
      • 2+1
      • 3+1
      • 4+1
      • 5+1
      • 6+1
      • 7+1
      • 8+1
      • 9+1
      • 10+1
    • Comprehensive Control of MMC-HVDC Integrated Offshore Wind Farm System Including Optimized Energy Control for Fast Frequency Support

      2025, 13(6):1966-1979. DOI: 10.35833/MPCE.2024.000975

      Abstract () HTML () PDF 27.59 K () Comment (0) Favorites

      Abstract:This paper presents a comprehensive control of modular multilevel converter-based high-voltage direct current (MMC-HVDC) integrated offshore wind farm (OWF) system, which is aimed at enhancing the fast frequency support capability. The comprehensive control consists of the active energy control (AEC), the optimized energy control (OEC), and the OWF control. The proposed OEC decouples the voltage of MMC submodule (SM) capacitor and the DC-link voltage of the MMC-HVDC. A mathematical model of the energy release process in an MMC and onshore frequency dynamics is developed, and a sinusoidal-function-based energy utilization preset curve is derived to theoretically achieve optimized frequency support, while ensuring the constrained energy usage. Upon the occurrence of a frequency event, MMC SMs may adjust their responses according to the energy utilization preset curve. The MMC then provides onshore frequency support by releasing energy. The coordination process with the OWF is also explored to further enhance the frequency support performance. Finally, case studies are conducted on the PSCAD/EMTDC platform through employing actual engineering parameters. The frequency support performance of various controls under both load increase and load decrease conditions are compared, demonstrating the effectiveness of the proposed OEC.

      • 0+1
      • 1+1
      • 2+1
      • 3+1
      • 4+1
      • 5+1
      • 6+1
      • 7+1
      • 8+1
      • 9+1
      • 10+1
      • 11+1
      • 12+1
      • 13+1
      • 14+1
    • Optimal Scheduling of Wind Power Generators for Isolated Offshore Field Microgrids Considering Unified Frequency Response and Spinning Reserve

      2025, 13(6):1980-1989. DOI: 10.35833/MPCE.2024.000942

      Abstract () HTML () PDF 20.91 K () Comment (0) Favorites

      Abstract:The high share of intermittent wind power jeopardizes system frequency security in isolated offshore field microgrids (IOFMs). Existing scheduling strategies, mainly focusing on stable energy supply and demand, fail to ensure frequency security due to the limited flexible and dispatchable resources in the IOFM. Thus, this paper proposes an optimal scheduling model of wind power generators with unified frequency response and spinning reserve constraints to assist operators in efficiently managing turbine generators. Frequency security indices are introduced to quantify the impact of both sudden wind power shortages and continuous wind power fluctuations on the frequency dynamics under different control modes. Based on these indices, unified frequency response and spinning reserve constraints are analytically derived to support the optimization of the control mode and on/off status of wind power generators. These highly nonlinear unified constraints are then reformulated as mixed-integer linear constraints, which are integrated into the scheduling model with operating costs as the objective. The proposed model is tested using a modified real-world IOFM. The results demonstrate that the proposed model not only ensures system frequency security but also reduces operating costs and carbon emissions.

      • 0+1
      • 1+1
      • 2+1
      • 3+1
      • 4+1
      • 5+1
      • 6+1
      • 7+1
      • 8+1
      • 9+1
      • 10+1
      • 11+1
      • 12+1
      • 13+1
      • 14+1
      • 15+1
    • Optimal Capacity Configuration of Large-scale Energy Bases Considering External Multi- stochastic Scenarios and Interactive Multi- timescale Objectives

      2025, 13(6):1990-2001. DOI: 10.35833/MPCE.2024.000869

      Abstract () HTML () PDF 25.63 K () Comment (0) Favorites

      Abstract:Optimal capacity configuration (OCC) of large-scale energy bases with multi-timescale operation characteristics presents a critical challenge. To address the problem, this study proposes an OCC approach of large-scale energy bases considering external multi-stochastic scenarios and interactive multi-timescale objectives. Firstly, guided by the system theory, the nonlinear state-space description is presented for systematic analysis of a general large-scale energy base. Due to interactive multi-timescale objectives between annual and daily cumulative objectives, a nested optimization structure is established. Then, considering the external multi-stochastic scenarios caused by the variables such as wind speed, solar irradiance, electric load, and thermal load, a multi-step optimization strategy is proposed including pre-configuration in regular scenarios and re-configuration by introducing micro-incremental scenarios. The multi-step optimization strategy and nested optimization structure jointly achieve the OCC of the large-scale energy base. In each step, the nested optimization structure is executed once. Finally, while ensuring the balance between thermal supply and load demand, the imbalances between electric power supply and the load demand are eliminated, significantly showing the efficiency of the proposed OCC approach.

      • 0+1
      • 1+1
      • 2+1
      • 3+1
      • 4+1
      • 5+1
      • 6+1
      • 7+1
      • 8+1
      • 9+1
      • 10+1
    • Decentralized Sub-synchronous Oscillation Suppression Controller for DFIG-based Wind Farms Using Periodic Updating Data-enabled Predictive Control Approach

      2025, 13(6):2002-2013. DOI: 10.35833/MPCE.2024.001158

      Abstract () HTML () PDF 25.04 K () Comment (0) Favorites

      Abstract:The large-scale integration of renewable energy sources, such as wind power and solar power, into the power system has significantly transformed its characteristics. The issue of sub-synchronous oscillation (SSO) becomes increasingly prominent, severely impacting the system stability. As the wind turbines vary in structures and parameters, existing model-based SSO suppression approaches do not fully consider wind turbine differences and multi-mode oscillation frequencies. To address these issues, this paper proposes a decentralized SSO suppression controller for doubly-fed induction generator (DFIG)-based wind farms using periodic updating data-enabled predictive control (PUDeePC) approach. Firstly, to better adapt to the time-varying system and external disturbance, a periodic updating algorithm is proposed incorporating anomaly detection. The stability of the PUDeePC approach is theoretically validated, and its robustness to variations and disturbances is qualitatively analyzed. Finally, the effectiveness of the PUDeePC approach is revealed through numerical simulations under various conditions, including compensation level variation, wind power output variation, number of online DFIG variations, multi-mode SSOs, and asynchronous PUDeePC approach.

      • 0+1
      • 1+1
      • 2+1
      • 3+1
      • 4+1
      • 5+1
      • 6+1
      • 7+1
      • 8+1
      • 9+1
    • Synergistic Suppression of Low-frequency Oscillations and Synchronous Frequency Resonance in Grid-connected System with Multiple Self-synchronizing Voltage Source Inverters

      2025, 13(6):2014-2026. DOI: 10.35833/MPCE.2025.000032

      Abstract () HTML () PDF 26.11 K () Comment (0) Favorites

      Abstract:Grid-connected systems with multiple self-synchronizing voltage source inverters (SSVSIs) (referred to as multi-SSVSI grid-connected systems for simplicity) are exposed to low-frequency oscillations (LFOs) and synchronous frequency resonance (SFR). However, the synergistic suppression of these two oscillation modes has not been achieved to date. Considering the dynamic characteristics of transmission circuits and power coupling characteristics, an improved power-frequency (P/ω) admittance model for multi-SSVSI grid-connected systems is established, reflecting the mechanism of LFOs and SFR, as well as the positive and negative effects of corresponding control parameters. In addition, an oscillation suppression method is proposed to enhance the system damping by adding virtual resistance control and transient virtual power feedback control, simultaneously suppressing LFOs and SFR. Unlike existing methods, the proposed method introduces virtual active power instead of real active power as the power feedback into the control loop, thus suppressing LFOs with a smaller transmission resistance and avoiding severe power coupling. Experimental results verify the effectiveness and superiority of the proposed method.

      • 0+1
      • 1+1
      • 2+1
      • 3+1
      • 4+1
      • 5+1
      • 6+1
      • 7+1
      • 8+1
      • 9+1
      • 10+1
      • 11+1
      • 12+1
      • 13+1
      • 14+1
      • 15+1
      • 16+1
      • 17+1
      • 18+1
      • 19+1
      • 20+1
      • 21+1
      • 22+1
      • 23+1
      • 24+1
      • 25+1
    • Machine Learning Based Model Predictive Control with Piecewise-affine Approximation Structure for Maximizing Wind Energy Capture

      2025, 13(6):2027-2039. DOI: 10.35833/MPCE.2024.000886

      Abstract () HTML () PDF 22.34 K () Comment (0) Favorites

      Abstract:This paper introduces a machine learning (ML) based model predictive control (MPC) with piecewise-affine approximation (PWA) structure for maximizing wind energy capture for an individual wind turbine operating in wind farms with low-quality wind resources. While MPC has the capability to systematically consider the stochasticity of wind speed and the dynamic process of wind turbine, its real-time implementation in a hardware controller of wind turbine has not been successful due to its high online computational burden and stringent execution time requirement in practice. To address this long-standing issue, this paper proposes a two-phase ML-based method consisting of linear regression and clustering to construct a PWA of the optimal law for original MPC scheme. The two-phase ML-based method is tunable with computational complexity, which can be adjusted to meet the hardware limitation of the given controller of wind turbine to enable real-time implementation, while preserving the optimality of linearized full-fidelity MPC as much as possible. We conduct simulations and experiments to demonstrate the effectiveness of the two-phase ML-based method.

      • 0+1
      • 1+1
      • 2+1
      • 3+1
      • 4+1
      • 5+1
      • 6+1
      • 7+1
      • 8+1
      • 9+1
      • 10+1
      • 11+1
    • Multi-period Electrical Array Reconfiguration for Multi-PV Systems Considering Net Power Fluctuation Mitigation

      2025, 13(6):2040-2050. DOI: 10.35833/MPCE.2024.000779

      Abstract () HTML () PDF 29.15 K () Comment (0) Favorites

      Abstract:The electrical array reconfiguration (EAR) method has become a promising solution to enhance photovoltaic (PV) system performance under partial shading conditions. Existing studies focus on maximizing single-period PV generation but neglect the impact of power fluctuation on grid stability. To address this, we propose a multi-period EAR method for multi-PV systems considering net power fluctuation mitigation. First, we design a multi-period EAR model to maximize total revenue by balancing electricity sales and net power fluctuation penalties, formulated as a stochastic mixed-integer quadratic programming problem. The model incorporates constraints on the average number of switching actions per unit time to ensure practical implementation. Then, to handle the unpredictability of partial shading conditions, we develop a Lyapunov optimization-based online algorithm to decouple the time-coupling constraints involving state transitions. Additionally, we propose a reduced set of EAR strategies to improve the computational efficiency. Numerical studies demonstrate that the proposed method significantly reduces net power fluctuations in distribution networks with high PV penetration rate and enhances total revenue compared with conventional methods.

      • 0+1
      • 1+1
      • 2+1
      • 3+1
      • 4+1
      • 5+1
      • 6+1
      • 7+1
      • 8+1
      • 9+1
      • 10+1
      • 11+1
    • Hierarchical Spatial-temporal Event Modeling and Optimal Regulation of Integrated Energy Cyber-physical Systems

      2025, 13(6):2051-2062. DOI: 10.35833/MPCE.2024.001263

      Abstract () HTML () PDF 27.29 K () Comment (0) Favorites

      Abstract:The integrated energy cyber-physical system (IECPS), a typical cyber-physical system (CPS), demonstrates tight interaction between cyber and physical spaces across time and space, exhibiting inherent spatial-temporal properties. Effective IECPS modeling requires the simultaneous consideration of both temporal and spatial properties, which remains a significant challenge. This paper proposes a hierarchical spatial-temporal event modeling method for IECPS based on hybrid automata (HA). Different event model layers are defined, representing events as functions of attributes, time, and space, with attributes characterized by system states. An integration method for multi-layer events is introduced, enabling accurate reflection of the system spatial-temporal characteristics and the current operating state of energy units. The modeling is applied to the optimal regulation of IECPS. Numerical simulations demonstrate that the proposed HA-based modeling method achieves precise regulation of IECPS while reducing system operating costs.

      • 0+1
      • 1+1
      • 2+1
      • 3+1
      • 4+1
      • 5+1
      • 6+1
      • 7+1
      • 8+1
      • 9+1
      • 10+1
      • 11+1
      • 12+1
    • A Q-learning Algorithm for Optimizing On-load Tap Changer Operation and Voltage Control in Distribution Networks with High Integration of Renewable Energy Sources

      2025, 13(6):2063-2073. DOI: 10.35833/MPCE.2024.000528

      Abstract () HTML () PDF 22.00 K () Comment (0) Favorites

      Abstract:Distribution networks have been experiencing significant changes under the pressure of the energy transition. The high integration of renewable energy sources combined with the electrification process introduces new challenges in managing distribution networks. Innovative solutions aimed at optimizing the control of complex problems, starting from historical data instead of a detailed system model, have been growing due to rapid development in artificial intelligence and machine learning. This paper proposes a Q-learning algorithm to control the tap setting of the on-load tap changer installed in primary substation transformers. The ultimate goal is to maintain voltage magnitudes at all busses of the medium-voltage distribution network within a safe range, simultaneously optimizing on-load tap changer operations. As a case study, the effectiveness of the proposed algorithm is assessed using a real medium-voltage distribution network with high penetration of renewable energy sources that supplies more than 2500 users/prosumers. The ability of the proposed algorithm to control bus voltages is tested in several scenarios characterized by significant variability and uncertainty. Outcomes show that the proposed algorithm is suitable for optimizing voltage control in distribution networks using a data-driven approach.

      • 0+1
      • 1+1
      • 2+1
      • 3+1
      • 4+1
      • 5+1
      • 6+1
      • 7+1
      • 8+1
      • 9+1
      • 10+1
      • 11+1
      • 12+1
    • Reliability-centered Planning with Geographic Graph Constraints for Feeder Routing and Conductor Sizing

      2025, 13(6):2074-2085. DOI: 10.35833/MPCE.2024.000884

      Abstract () HTML () PDF 22.92 K () Comment (0) Favorites

      Abstract:Feeder routing and reliability assessment are essential for effective distribution network planning. However, excessively long feeders can lead to increased costs and decreased reliability. To enhance economic and reliability performance, this paper proposes a reliability-centered planning method for feeder routing and conductor sizing. Specifically, a graph-based fictitious power flow model is constructed within the geographic graph. Overlapping feeder routes powered by fictitious power flows from multiple sources are designated as line connection. These feeder routes, constrained by the geographic graph, are interconnected via line connection to form a mesh network structure. To meet the requirements of reliability-centered optimization, the affiliation variables are introduced. Based on the affiliation variables, the algebraic formula is embedded into the fictitious power flow model to enable the calculation of reliability during the optimization process. By incorporating customized reliability-related constraints in the model, the specific reliability objectives can be achieved. In addition, the non-convex terms in the fictitious power flow model are relaxed into convex forms, and certain variable products are replaced with auxiliary variables, allowing the problem to be solved by an off-the-shelf solver. Finally, the proposed method is tested on two case studies, demonstrating its effectiveness.

      • 0+1
      • 1+1
      • 2+1
      • 3+1
      • 4+1
      • 5+1
      • 6+1
    • Collaborative Configuration Optimization of Soft Open Points and Distributed Multi-energy Stations with Spatiotemporal Coordination and Complementarity

      2025, 13(6):2086-2097. DOI: 10.35833/MPCE.2024.001279

      Abstract () HTML () PDF 29.90 K () Comment (0) Favorites

      Abstract:To address the limitations of traditional planning methods in handling complex scenarios such as multi-feeder or substation cluster supply under high photovoltaic (PV) penetration, this paper proposes a collaborative configuration optimization method of soft open points (SOPs) and distributed multi-energy stations with spatiotemporal coordination and complementarity to reduce renewable energy curtailment. First, a shared strategy of multiple types of resources is proposed based on an SOP-enabled flexible distribution network. Second, a distributed hydrogen-based multi-energy coupling system (DHMECS) is developed. Then, a DHMECS siting model considering inter-feeder resource sharing is formulated. Finally, a configuration model of SOP and DHMECS is proposed, incorporating a partitioned autonomous operation strategy that considers spatiotemporal coordination and complementarity. The proposed method is validated on the improved Portugal 54-node and 219-node distribution networks, and the results demonstrate that it mitigates severe voltage violations and PV curtailment, enhances partitioned autonomous operation capabilities, and addresses the challenges of complex planning scenarios involving multi-feeder or substation cluster supply.

      • 0+1
      • 1+1
      • 2+1
      • 3+1
      • 4+1
      • 5+1
      • 6+1
      • 7+1
      • 8+1
      • 9+1
    • VSC-driven Modeling for Soft Open Points and Battery Energy Storage Systems to Balance Three-phase Distribution Networks with Phase-specific Dispatching

      2025, 13(6):2098-2110. DOI: 10.35833/MPCE.2024.001114

      Abstract () HTML () PDF 34.58 K () Comment (0) Favorites

      Abstract:This paper proposes an advanced voltage source converter (VSC)-driven model for soft open points (SOPs) and battery energy storage systems (BESSs) to actively balance three-phase distribution networks. The proposed model addresses the phase imbalance caused by the increasing integration of renewable energy and distributed generation. Unlike traditional models, which mainly focus on AC capacity constraints, the proposed model explores the complexities of the DC-link. This allows for a thorough examination of the interactions between active and reactive power, as well as the voltage levels on both the AC and DC sides of VSCs. The relationship between pulse width modulation (PWM) control configurations and VSC power outputs is discussed, enhancing control on both sides of the converters. This improvement also facilitates better cross-phase power transfer through SOPs and enhances the overall balance among the three phases. In addition, the proposed model incorporates the cooperative functionality of VSC-driven BESSs to sustain the phase balance. To further optimize the load distribution, phase-specific dispatching (PSD) is introduced, allowing for the flexible allocation of individual loads to distinct phases. Together, these coordinated technical solutions constitute a systematic optimization strategy. An algorithm is developed to harmonize the VSC-driven modeling for SOPs and BESSs with PSD, thereby improving the computational efficiency in managing power flow and phase balance. The results show that the proposed model significantly reduces losses and enhances the phase balance.

      • 0+1
      • 1+1
      • 2+1
      • 3+1
      • 4+1
      • 5+1
      • 6+1
      • 7+1
    • Maximum Likelihood Estimation for Line Parameters in Distribution Grids Based on Expectation Maximization Algorithm

      2025, 13(6):2111-2119. DOI: 10.35833/MPCE.2024.000910

      Abstract () HTML () PDF 25.86 K () Comment (0) Favorites

      Abstract:This paper proposes a method for obtaining nonlinear models of distribution grid based on available measurements from the power grid. We formulate a maximum likelihood estimation (MLE) problem that estimates unknown line parameters—specifically, the impedance between nodes—using measured voltage magnitudes and net active and reactive power injections at each node. The nonlinear model for the distribution grid uses a nonlinear approximation of the DistFlow model, which includes line losses and is parameterized by the unknown line impedances. We solve the resulting MLE problem using an expectation maximization (EM) algorithm, tailored for the nonlinear model, and provide a numerically robust implementation. The proposed method is demonstrated on the IEEE 37-node test network, and we compare it with the state-of-the-art methods. The proposed method achieves a 70% reduction in voltage error and an error for state variables that is more than 10000 times smaller. A final comparison uses data from a real network, and the proposed method achieves parameter estimates with errors 100 times smaller than competing methods.

      • 0+1
      • 1+1
      • 2+1
    • Fault Isolation and Arc Suppression for Single-line-to-ground Faults in Transformer-less SOP-based Flexible Interconnected Distribution Networks

      2025, 13(6):2120-2130. DOI: 10.35833/MPCE.2024.001248

      Abstract () HTML () PDF 23.95 K () Comment (0) Favorites

      Abstract:The transformer-less configuration is regarded as a preferred solution for soft-open-point (SOP)-based flexible interconnected distribution networks (FIDNs). This study proposes a reliable and cost-effective method for handling single-line-to-ground (SLG) faults in transformer-less SOP-based FIDNs. Firstly, the zero-sequence fault equivalent circuit of FIDNs is established, and the fault propagation characteristics between the grids interconnected by the SOP are analyzed. Secondly, a zero-sequence current isolation strategy based on proportional-resonant control is proposed to prevent fault propagation toward the healthy-side grid. An active injection-based grounding parameter identification (GPI) approach is then proposed, enabling accurate calculation of the compensation current for arc suppression. Finally, the selection of injected signal parameters is discussed, and the complete timing flow of the SLG fault handling method is presented. A 10 kV SOP-based FIDN model configured with a transformer-less topology is developed in PSCAD/EMTDC. The performance of the SLG fault handling method is verified under transition resistances ranging from 10 Ω to 10 kΩ. The results reveal that the average relative error in GPI is less than 4%. Furthermore, the compensated currents of faulty branch remain below 10 A across various fault conditions.

      • 0+1
      • 1+1
      • 2+1
      • 3+1
      • 4+1
      • 5+1
      • 6+1
      • 7+1
      • 8+1
      • 9+1
      • 10+1
      • 11+1
      • 12+1
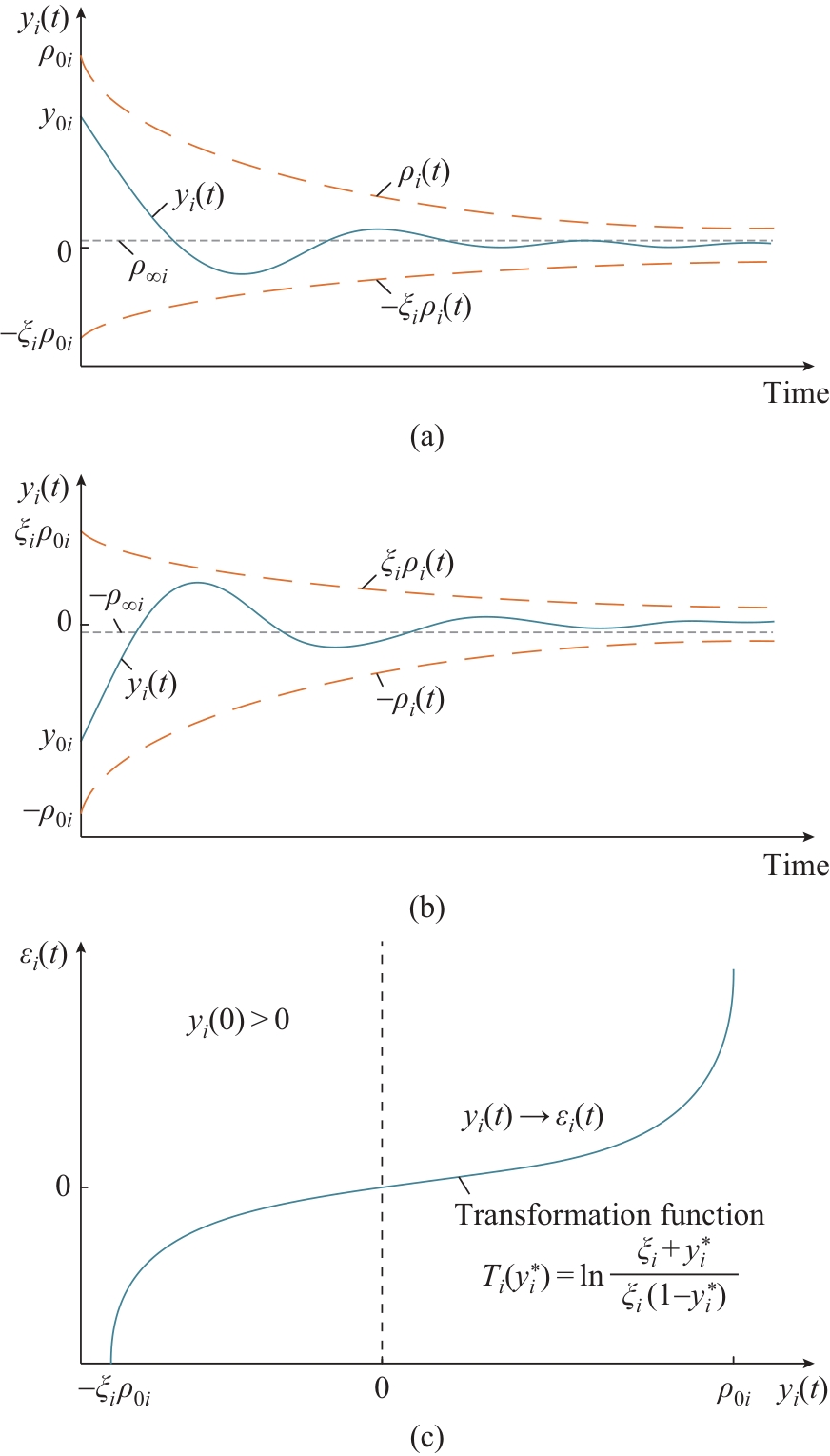
    • Prescribed Performance Control Based Distributed Secondary Coordination for Islanded AC Microgrids

      2025, 13(6):2131-2143. DOI: 10.35833/MPCE.2024.001239

      Abstract () HTML () PDF 29.67 K () Comment (0) Favorites

      Abstract:For providing a reliable power supply in an islanded AC microgrid, it is crucial to ensure that the operating states meet the safety constraints. However, conventional distributed secondary control methods often struggle to handle voltage and frequency constraints, limiting their practical applicability. To address these limitations, this paper proposes a novel prescribed performance control (PPC) based distributed secondary coordination method for islanded AC microgrids. The proposed method introduces a systematic framework that integrates bijective transformation with distributed secondary control. In this framework, the constrained distributed voltage and frequency control problems can be transformed into unconstrained ones, enabling strict adherence to predefined performance boundaries. Additionally, Lyapunov-Krasovskii functional analysis is employed in this paper to ensure asymptotic stability and calculate the stable boundaries in the transformed error space under time-delay conditions. The effectiveness of stability recovery and prescribed performance is tested in both MATLAB/Simulink and RTLab-based hardware-in-the-loop (HIL) experimental environments.

      • 0+1
      • 1+1
      • 2+1
      • 3+1
      • 4+1
      • 5+1
      • 6+1
      • 7+1
      • 8+1
      • 9+1
      • 10+1
      • 11+1
      • 12+1
      • 13+1
      • 14+1
      • 15+1
    • Distributed Specified-time Control Mechanism for Secondary Control in Islanded Microgrids Under Directed Switching Communication Topologies

      2025, 13(6):2144-2156. DOI: 10.35833/MPCE.2024.000495

      Abstract () HTML () PDF 24.41 K () Comment (0) Favorites

      Abstract:This study introduces a distributed specified-time control mechanism (DSTCM) for secondary control in islanded microgrids (MGs) operating under directed switching communication topologies. The proposed mechanism ensures convergence properties that are independent of initial conditions, enabling the design of an exact offline settling time to reduce power losses and limit the upper bound of convergence time. By employing a piecewise function-based communication approach and directed switching graphs, the proposed mechanism effectively reduces computational and communication demands on the system. Moreover, the proposed mechanism significantly enhances power system performance while minimizing adjustment costs, delivering precise control actions under various operating conditions. The accuracy and effectiveness of the proposed mechanism are validated through extensive MATLAB simulations, demonstrating its ability to regulate MG voltages and frequencies, achieve accurate proportional active power sharing, and maintain state-of-charge (SoC) balancing. Its superiority over previously established mechanisms is also confirmed by a comparative analysis.

      • 0+1
      • 1+1
      • 2+1
      • 3+1
      • 4+1
      • 5+1
      • 6+1
      • 7+1
      • 8+1
    • Market Clearing Model for Energy-constrained Virtual Power Plants with Uncertainty Based on Distributionally Robust Chance-constrained Optimization

      2025, 13(6):2157-2167. DOI: 10.35833/MPCE.2024.000744

      Abstract () HTML () PDF 26.37 K () Comment (0) Favorites

      Abstract:With the increasing number of distributed flexible resources with energy storage capabilities in virtual power plants (VPPs), the traditional market clearing model that only includes quantity and price bids cannot fully unlock their potential flexibility. In light of this, we propose a market clearing model for energy-constrained virtual power plants (EC-VPPs) based on distributionally robust chance-constrained optimization (DRCCO) with moment information. Furthermore, to address the uncertainty of EC-VPPs in the electricity market, a pricing strategy for EC-VPPs is proposed. This strategy helps quantify the impact of uncertainty in EC-VPPs on the system economy. The proposed market clearing model is reformulated as a tractable mixed-integer second-order cone programming (MISOCP) problem via a two-sided distributionally robust chance-constrained convex reformulation method. Numerical simulations verify that the proposed pricing strategy offers fair incentives for both reserve providers and uncertain sources, and delivers an effective market mechanism for the EC-VPPs.

      • 0+1
      • 1+1
      • 2+1
      • 3+1
      • 4+1
      • 5+1
      • 6+1
      • 7+1
      • 8+1
      • 9+1
      • 10+1
      • 11+1
      • 12+1
    • Remote Coordination Adjustment of Power Electronic Devices in AC/DC Systems by Power Flow Calculation with Linearization and Sensitivity

      2025, 13(6):2168-2179. DOI: 10.35833/MPCE.2024.000784

      Abstract () HTML () PDF 27.56 K () Comment (0) Favorites

      Abstract:High proportion of renewable energies and the installation of power electronic devices (PEDs) pose tough challenges to the operation of power systems. In this paper, the remote coordination adjustment (RCA) of PEDs in stochastic scenarios is studied. The steady-state model for the AC/DC system with PEDs is first established, and the alternate iteration method based on linearization (AIML) is adopted, especially for efficient deterministic power flow calculation. Then, the RCA is proposed using a modular local sensitivity method combined with AIML, which can adjust the electrical variables by diverse PEDs with high efficiency. Additionally, the probabilistic power flow calculation using the quasi-Monte Carlo method with the adaptive sampling number (ASN-QMC) is introduced to keep the balance between the computational efficiency and accuracy, as well as demonstrating the positive impact of RCA by the PEDs in stochastic scenarios. The effectiveness of the proposed RCA is validated by a series of modified IEEE test systems.

      • 0+1
      • 1+1
      • 2+1
      • 3+1
      • 4+1
      • 5+1
      • 6+1
      • 7+1
      • 8+1
      • 9+1
      • 10+1
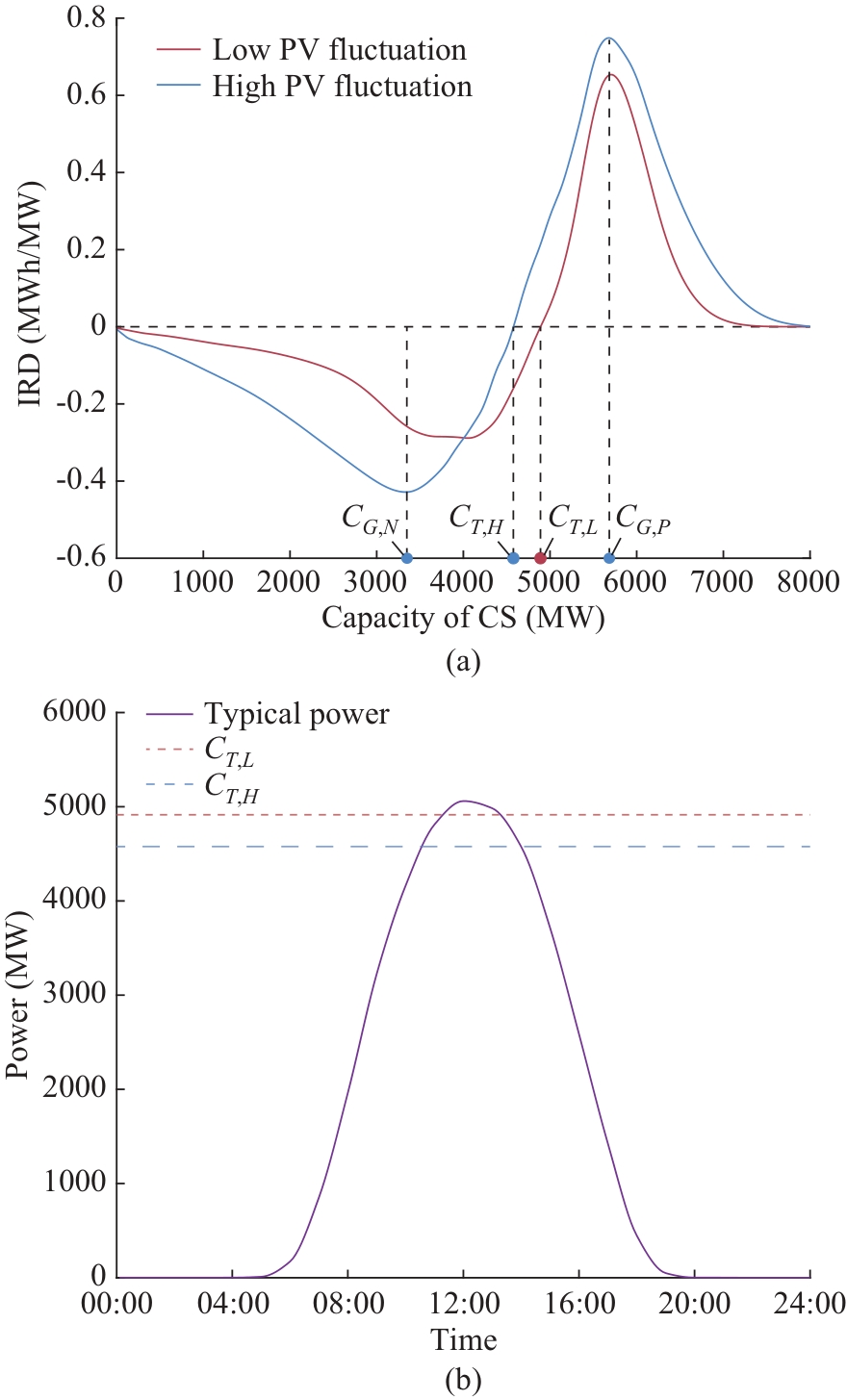
    • Optimal Capacity Planning for Converter Stations in Sending-end MT-HVDC Systems Considering Uncertainties of PV Generation

      2025, 13(6):2180-2191. DOI: 10.35833/MPCE.2024.000949

      Abstract () HTML () PDF 22.46 K () Comment (0) Favorites

      Abstract:Sending-end multi-terminal high-voltage direct current (MT-HVDC) systems are well-suited for large-scale renewable energy collection and transmission. However, the capacity planning for converter stations (CSs), which is directly correlated with their ability to convert renewable energy, remains a critical issue. In this paper, an optimal capacity planning method for CSs is proposed to maximize the converted energy (CE). The proposed method considers the uncertainties of photovoltaic (PV) generation and derives analytical formulas for stochastic CEs. The equal incremental rate (EIR) principle is employed to calculate the optimal capacity planning scheme, and then a general guideline for the capacity planning in stochastic scenarios is presented. Case studies are conducted to validate the effectiveness of the proposed method and the proposed guideline. The results demonstrate that the proposed method converts more renewable energy than the deterministic method.

      • 0+1
      • 1+1
      • 2+1
      • 3+1
      • 4+1
      • 5+1
      • 6+1
      • 7+1
      • 8+1
      • 9+1
      • 10+1
      • 11+1
      • 12+1
      • 13+1
    • An Augmented Impedance Network Modeling Method with Explicit Synchronization Port for Stability Assessment of Multi-converter System

      2025, 13(6):2192-2202. DOI: 10.35833/MPCE.2024.0001027

      Abstract () HTML () PDF 23.32 K () Comment (0) Favorites

      Abstract:The dynamics of diverse synchronization control, such as grid-following (GFL) and grid-forming (GFM) control, are complicating the oscillatory behaviors in multi-converter systems. In this context, the impedance network (IN) based frequency-domain modal analysis (FMA) method is useful for diagnosing oscillations. However, since the conventional impedance model retains only electric nodes, the FMA primarily reflects the circuit-related information, e.g., node participation factor, making it less intuitive for probing the synchronous dynamics. To address this issue, this paper proposes an augmented impedance network (AIN) modeling method by explicitly characterizing synchronous control loops for stability assessment. First, a four-port augmented impedance model (AIM) with an additional synchronization port is proposed for a generic AC/DC converter, and the corresponding AIN model of a generic AC/DC multi-converter system is formulated in a scalable approach. Then, the FMA method is generalized by simultaneously incorporating the electric nodes (including AC and DC nodes) and synchronous nodes. Finally, the AIN model and its associated FMA method are comprehensively validated in a typical point-to-point high-voltage direct current (HVDC) system and a modified IEEE 9-bus system, both with GFM and GFL converters.

      • 0+1
      • 1+1
      • 2+1
      • 3+1
      • 4+1
      • 5+1
      • 6+1
      • 7+1
      • 8+1
      • 9+1
      • 10+1
      • 11+1
      • 12+1
      • 13+1